Revisor: Dra. Ana Gómez-Bastero Fernández. Servicio de Neumología. Hospital Universitario Virgen Macarena. Sevilla
Artículo seleccionado: Serajeddini H, Thakar A, Kjarsgaard M, et al. Sputum Cellularity and MRI Ventilation Defects in Severe Asthma. Chest. 2025 Oct;168(4):860-873. doi:10.1016/j.chest.2025.05.013.
Palabras clave: defectos de ventilación; fenotipo inflamatorio; asma grave.
Resumen
La inflamación de las vías respiratorias es una característica definitoria del asma, que se caracteriza por un aumento de citocinas y células inflamatorias como los eosinófilos y/o neutrófilos. Para ello, determinadas técnicas como es el análisis del esputo nos permiten identificar diferentes patrones celulares inflamatorios permitido el reconocimiento de cuatro fenotipos inflamatorios distintos de las vías respiratorias (eosinofílico, neutrofílico, granulocítico mixto y paucigranulocítico).
Por otra parte, los defectos de ventilación son la consecuencia funcional de la obstrucción del flujo aéreo y pueden visualizarse directamente in vivo mediante resonancia magnética (RMN) de gas hiperpolarizado. En pacientes con asma, los defectos de ventilación evaluados mediante RMN hiperpolarizada son mayores en pacientes no controlados, que persisten tras el uso de broncodilatadores, asociándose con la presencia de eosinofilia y neutrofilia en el lavado broncoalveolar, así como con el recuento de eosinófilos. Dichos defectos ventilatorios se han descrito mejorar cuando la eosinofilia de las vías respiratorias se controla con terapia biológica dirigida.
Este estudio tuvo como objetivo determinar cómo los diferentes fenotipos celulares del esputo afectan a la ventilación anormal, específicamente según la evaluación por RMN con 129Xe, en pacientes con asma grave.
Se trata de un estudio de una cohorte de asmáticos graves canadienses según criterios de la GINA y un grupo control de sanos.
Durante una única visita se les realizó una espirometría y una RMN con ventilación hiperpolarizada con 129Xe tras broncodilatación, y la recogida del esputo; así como otros parámetros demográficos, de control del asma, calidad de vida, marcadores inflamatorios como el FeNO.
Los pacientes se agruparon retrospectivamente según su fenotipo inflamatorio celular, obtenido a partir de la citología del esputo, clasificando a los pacientes con asma en cuatro fenotipos celulares: paucigranulocítico, eosinofílico, neutrofílico y granulocítico mixto. Posteriormente, se comparó la ventilación anormal, cuantificada como el porcentaje de defecto de ventilación (VDP) en la RMN postbroncodilatador, entre estos fenotipos de asma y frente a controles sanos. Además, se compararon los datos demográficos, las características clínicas y los niveles de citocinas en el esputo entre pacientes con asma paucigranulocítico con VDP en la RMN por encima y por debajo del límite superior de la normalidad.
Se incluyeron 85 pacientes con asma y 15 sujetos control. La clasificación del fenotipo celular del esputo de los participantes con asma reveló que 32 (38%) presentaban el fenotipo paucigranulocítico, 22 (26%) el fenotipo eosinofílico, 12 (14%) el fenotipo neutrofílico y 19 (22%) el fenotipo granulocítico mixto. Los fenotipos celulares del asma fueron similares en cuanto al sexo, el IMC, el control del asma, la calidad de vida, la espirometría y la dosis de corticosteroides inhalados/orales (p > 0,05 para todos).
En la figura 1 se muestran imágenes de los defectos ventilatorios evaluados mediante RMN hiperpolarizada con 129Xe: un caso de cada uno de los grupos (sanos y los cuatro perfiles inflamatorios).

Figura 1: Defectos ventilatorios (VDP) mediante RMN hiperpolarizada con 129Xe.
En pacientes con asma, se observó una ventilación anormal (VDP en la RMN por encima del límite superior de la normalidad) en una proporción significativa de cada grupo: 44% de aquellos con fenotipo paucigranulocítico, 64% con fenotipo eosinofílico, 75% con fenotipo neutrofílico y 89% con fenotipo mixto. En comparación con los controles sanos, el VDP en la RMN fue significativamente mayor en pacientes con asma eosinofílica (P = 0,0002), neutrofílica (P = 0,0001) y mixta (P < 0,0001), pero no en el fenotipo paucigranulocítico (P = 0,051).
Se diseñaron curvas ROC para evaluar el papel de los marcadores de inflamación de las vías respiratorias como predictores de los defectos de ventilación, utilizando el límite superior de la normalidad (VDP de RMN ¼ 3,7%) como umbral diagnóstico. Las medidas de inflamación incluyeron recuento total de células en el esputo (n = 69, área bajo la curva [AUC] = 0,72), eosinófilos en el esputo (n = 68, % del recuento total de células AUC = 0,53; n = 68, recuento absoluto de células AUC = 0,65), neutrófilos en el esputo (n = 68, % del recuento total de células AUC = 0,63; n = 68, recuento absoluto de células AUC = 0,70), FeNO (n = 85, AUC = 0,59) y eosinófilos en sangre (n =85, AUC ¼ 0,49). El umbral óptimo para la máxima sensibilidad y especificidad que indica ventilación anormal para cada marcador se resume en la tabla 1.
Tabla 1. Marcadores inflamatorios como indicadores de ventilación anómala cuantificada mediante RMN hiperpolarizada con 129Xe.

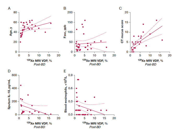
Concretamente, entre los pacientes con asma paucigranulocítico, en el análisis univariante se observó que aquellos con VDP anormal en la RMN eran de mayor edad (P = 0,006), tenían mayores niveles de óxido nítrico exhalado (P = 0,02) y puntuaciones más altas de moco en la TC (P < 0,0001), como se muestra en la figura 2. Posteriormente en el modelo de regresión lineal multivariable para evaluar la influencia relativa de la edad, el FeNO, los eosinófilos en sangre, la puntuación de moco en la TC y la IL-18 en el esputo sobre VDP; el moco de las vías respiratorias fue la variable que contribuyó significativamente a la predicción de VDP, pero no las demás variables del modelo (p > 0,05).

Figura 2: Análisis univariante entre los defectos ventilatorios (VDP) mediante RMN hiperpolarizada con 129Xe en los pacientes con asma paucigranulocítica.
Comentario
Los resultados del estudio muestran la carga de defectos ventilatorios, medidos mediante RMN con 129Xe, para distintos fenotipos celulares en el asma, incluyendo aquellos menos estudiados. Se observa la contribución de otros factores no celulares al aumento de esos defectos ventilatorios, y por ende, a la obstrucción luminal de las vías respiratorias; concretamente la elevación del FeNO o, la puntuación de moco, como predictor de defectos ventilatorios en el asma paucigranulocítico. La caracterización de la carga de defectos ventilatorios asociada con los fenotipos inflamatorios mediante RMN aporta nuevos conocimientos a la fisiopatología del asma.






